Magna Concursos
4010729 Ano: 2026
Disciplina: Matemática
Banca: Funatec
Orgão: Pref. São José Divino-PI
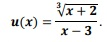
Em um modelo matemático empregado para analisar a relação entre uma variável ajustada e um parâmetro de referência, a função que descreve o sistema é dada por:
Enunciado 4499239-1
Considerando apenas valores reais de x, assinale a alternativa que representa corretamente o domínio da função u.
 

Provas

Questão presente nas seguintes provas

Professor do Ensino Fundamental - Matemática

40 Questões