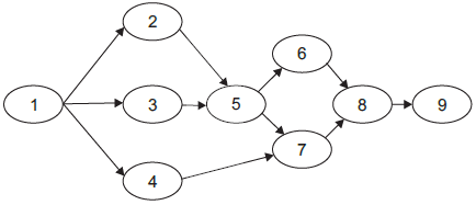
Considere o enunciado, o diagrama e a tabela abaixo para responder a questão.
O planejamento, o detalhamento dos serviços e a execução da manutenção de um equipamento eletrônico foram elaborados segundo o diagrama e a respectiva tabela de atividades, apresentados a seguir.

|
Nr |
Atividade | Tempo de Execução |
Técnico Executante |
| 1 | Desmontar o equipamento |
1 hora |
Artur |
| 2 | Consertar o subconjunto I | 3 horas |
Barros |
| 3 | Consertar o subconjunto II | 2 horas |
Artur |
| 4 | Reduzir o tamanho do subconjunto III | 1 hora |
Carlos |
| 5 | Montar os subconjuntos I e II | 4 horas |
Barros |
| 6 | Calibrar os subconjuntos I e II |
2 horas |
Barros |
| 7 | Ajustar os subconjuntos I e II de acordo com o novo tamanho do subconjunto III. |
2 horas |
Carlos |
| 8 | Acoplar o subconjunto III aos subconjuntos I e II | 2 horas |
Artur |
| 9 | Pintar o equipamento |
1 hora |
Artur |
Durante a realização do serviço de manutenção do equipamento, a folga, em horas, do técnico Carlos foi: