2661082
Ano: 2015
Disciplina: Engenharia Eletrônica
Banca: CESGRANRIO
Orgão: BR Distribuidora
Disciplina: Engenharia Eletrônica
Banca: CESGRANRIO
Orgão: BR Distribuidora
Provas:
Considere o sistema de controle em malha fechada representado pelo diagrama de blocos abaixo.

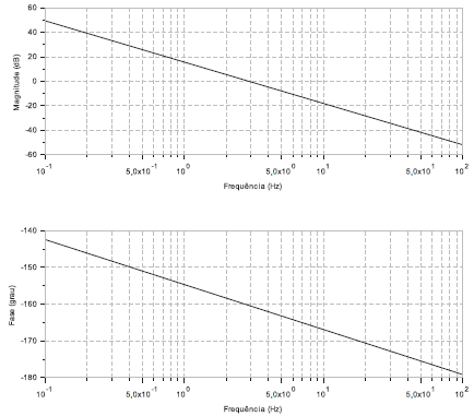
O Diagrama de Bode da planta G(s) é mostrado na Figura a seguir.

Qual o valor aproximado do ganho K necessário para aumentar em 10º a margem de fase do sistema?