Magna Concursos
2111054 Ano: 2021
Disciplina: Química
Banca: UFMT
Orgão: UFMT
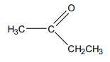
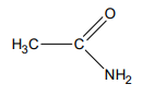
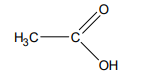
Reações envolvendo anéis aromáticos são importantes para a indústria de bens de consumo, como a indústria farmacêutica. Considere a molécula abaixo, contendo um anel aromático com substituinte acila.
Enunciado 2111054-1
Assinale a alternativa que apresenta o reagente para a síntese dessa molécula
 

Provas

Questão presente nas seguintes provas

Técnico de Laboratório - Química

50 Questões