Magna Concursos
3278349 Ano: 2024
Disciplina: Matemática
Banca: UEPB
Orgão: Pref. Soledade-PB
Provas:

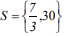
Se S1 denota o conjunto solução da equação

Enunciado 3278349-1

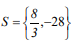
e Sé o conjunto solução da equação

Enunciado 3278349-2

podemos AFIRMAR que é igual a:

 

Provas

Questão presente nas seguintes provas

Professor - Matemática

40 Questões