As bombas que impulsionam fluidos incompressíveis (líquidos) são
dispositivos de elevada importância na indústria química, pois seu correto dimensionamento influencia, de forma relevante, o balanço econômico da planta de processo. Com relação a esse assunto, julgue os itens que se seguem.
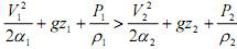
Considere que, na seção 1 de um tubo entre um fluido e que esse fluido saia pela seção 2 desse mesmo tubo. Considere, ainda, que, após aplicação do balanço de energia, seja estabelecida a seguinte relação:
dispositivos de elevada importância na indústria química, pois seu correto dimensionamento influencia, de forma relevante, o balanço econômico da planta de processo. Com relação a esse assunto, julgue os itens que se seguem.
Em que V é a velocidade do fluido a, o parâmetro que correlaciona a velocidade eficaz à velocidade média de circulação do fluido (α 1 α 2 );g, ace leração da gravidade; z , a posição de cada seção da tubulação; P , a pressão; e p, a densidade do fluido. Assuma que os índices 1 e 2 subscritos referem-se, respectivamente, às seções 1 e 2 da tubulação. Nessa situação, o fluido circulará espontaneamente, não sendo necessário o uso de uma bomba.