Magna Concursos
2554078 Ano: 2018
Disciplina: Química
Banca: UFPR
Orgão: PM-PR
Provas:
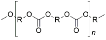
Os grandes protagonistas na Copa do Mundo de Futebol na Rússia em 2018 foram os polímeros, e não os jogadores. Os polímeros estavam presentes nos uniformes dos jogadores e na bola. O polímero que merece destaque é o poliuretano, utilizado para a impressão térmica dos nomes, números e logos nos uniformes, além de ser utilizado como couro sintético das bolas utilizadas na competição. O poliuretano é obtido a partir da reação entre um isocianato e um poliol, conforme o esquema a seguir:
Enunciado 2880726-1
A estrutura química da unidade de repetição desse polímero é:
 

Provas

Questão presente nas seguintes provas

Cadete - CFO PM

114 Questões