O material mais utilizado em casas noturnas brasileiras para fazer o isolamento acústico também pode transformá-las em fornos. Trata-se da espuma de poliuretano. Quando não recebe a adição de um composto químico para retardamento de combustão, a espuma é inflamável e propaga o fogo com velocidade. Mais ainda: ela tem características de isolante térmico. Assim, impede que o calor se dissipe.
Internet: <https://veja.abril.com.br> (com adaptações).
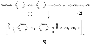
A reação a seguir mostra um exemplo típico da formação do poliuretano, em que os compostos 1 e 2 formam o poliuretano, composto 3.

Com base nas informações apresentadas, julgue os itens que se seguem, considerando que MH = 1,00 g/mol, MC = 12,00 g/mol, MN = 14,00 g/mol e MO = 16,00 g/mol.
O composto 1 apresenta duas aminas terciárias.