Controladores Proporcional-Integral-Derivativo (PID), embora possuam estrutura relativamente simples, demonstram ser satisfatórios para o controle de grande variedade de processos.
O controlador PID é capaz de eliminar erros de regime permanente (ação integral), antecipar o comportamento do processo (ação derivativa) e reagir ao erro presente, conferindo ao sistema de controle uma reação rápida à ação de perturbações ou variações de referência de magnitudes significativas (ação proporcional).
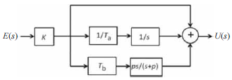
O diagrama em blocos de um controlador PID convencional é apresentado a seguir.

Com base nessas informações, julgue o item subsequente.
A função de transferência do controlador PID é dada pela expressão, !$ H(s) \, = \, \dfrac {U(s)} {E(s)} \, = \, K \begin {bmatrix} 1 \, + \, \dfrac {1} {T_{a^S}} \, + \, T_b \dfrac {ps} {s+p} \end {bmatrix}, !$ onde K é o ganho, Ta e Tb são as constantes de tempo integral e derivativo, respectivamente, e p é um pólo para limitação de ganho em altas frequências.