Magna Concursos
1924349 Ano: 2011
Disciplina: Matemática
Banca: Consulplan
Orgão: Pref. Araçatuba-SP
Provas:

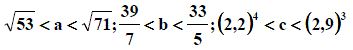
Sejam a, b e c números naturais, tais que: enunciado 1924349-1

 

Provas

Questão presente nas seguintes provas