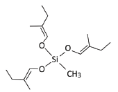
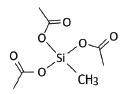
Uma das formulações para os adesivos “silicones” usados na construção civil é chamada de “silicone acético”. Essa nomenclatura é utilizada porque o componente ativo libera ácido acético durante a formação do precursor, espécie que promoverá a polimerização, como representado genericamente a seguir.

Considerando essas informações, qual dos componentes ativos a seguir faria com que a formulação fosse considerada como “silicone acético”?
Provas
Questão presente nas seguintes provas