Magna Concursos
1915389 Ano: 2009
Disciplina: Engenharia Biomédica
Banca: CESGRANRIO
Orgão: SECAD-TO
Provas:

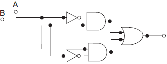
Considere o circuito lógico abaixo.

Enunciado 3393588-1

Esse circuito pode ser substituído APENAS por

 

Provas

Questão presente nas seguintes provas

Engenheiro Clínico

50 Questões