Considere os dados abaixo para definir o caminho crítico:

Com base nas informações, qual é a soma em dias do caminho crítico?
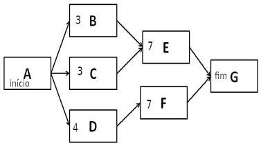
Considere os dados abaixo para definir o caminho crítico:

Com base nas informações, qual é a soma em dias do caminho crítico?