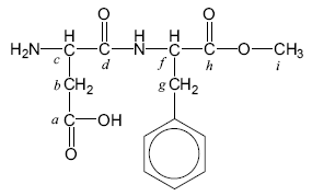
Uma das substâncias empregadas em adoçantes comercializados no país é o aspartame, cuja fórmula estrutural plana é dada a seguir. Com base nessa fórmula, responda às questões de números 21 a 25.

O número total de átomos de carbono com hibridação tipo sp2 é