Magna Concursos
2026649 Ano: 2021
Disciplina: Matemática
Banca: FUNDATEC
Orgão: Pref. Vacaria-RS

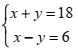
No sistema de equações Enunciado 2026649-1o valor de x2 + y2 é:

 

Provas

Questão presente nas seguintes provas

Advogado - Assistência Judiciária Gratuita

40 Questões

Contador

40 Questões

Engenheiro Agrônomo

40 Questões

Farmacêutico

40 Questões

Odontólogo

40 Questões