Magna Concursos
1428024 Ano: 2010
Disciplina: Engenharia Química
Banca: FGV
Orgão: CAERN
Provas:
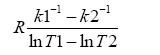
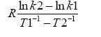
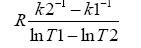
Dois experimentos foram realizados para elucidar a cinética de uma determinada reação química. No experimento em que a reação foi conduzida à temperatura T1, a velocidade específica de reação foi k1 e no experimento em que a reação foi conduzida à temperatura T2, a velocidade específica de reação foi k2. Assinale a alternativa que contém uma estimativa para a energia de ativação de reação, segundo o modelo de Arrhenius, e usando os únicos dois dados experimentais disponíveis.
Questão Anulada

Provas

Questão presente nas seguintes provas

Engenheiro Químico

50 Questões