Magna Concursos
3824348 Ano: 2025
Disciplina: Química
Banca: FGV
Orgão: AGESAN-RS
Provas:
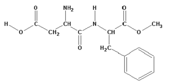
O aspartame é um adoçante artificial amplamente utilizado em alimentos e bebidas como alternativa ao açúcar, tornando-o uma opção para produtos dietéticos e de menor valor calórico.

Enunciado 4760701-1

Assinale a alternativa que contém as funções orgânicas presentes na molécula de aspartame.
 

Provas

Questão presente nas seguintes provas

Agente de Fiscalização

70 Questões