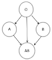
A figura a seguir mostra a compatibilidade entre doadores e receptores de sangue de grupos sanguíneos diferentes, onde as setas utilizadas partem de doadores e chegam a receptores, isto é, as setas mostram “quem pode doar a quem”.

Camila, Diogo, Paula e Rodrigo são quatro amigos que possuem tipos de sangue diferentes entre si, isto é, não há dois deles com o mesmo tipo de sangue.
Sabe-se que, entre eles:
\( \bullet \) Camila só pode receber sangue de Rodrigo;
\( \bullet \) Paula pode doar sangue para Diogo, mas não pode doar para Camila.
É obrigatoriamente verdade que