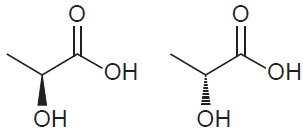
Várias características e propriedades de moléculas orgânicas podem ser inferidas analisando sua fórmula estrutural. Na natureza, alguns compostos apresentam a mesma fórmula molecular e diferentes fórmulas estruturais. São os chamados isômeros, como ilustrado nas estruturas.
Entre as moléculas apresentadas, observa-se a ocorrência de isomeria
Provas
Questão presente nas seguintes provas