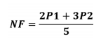
Em uma determinada escola, para obter
a nota média final ao término de um
bimestre, cada aluno deve substituir
as notas de duas provas bimestrais e
substituí-las na equação

em que NF é a nota média final e P1 e P2 são as notas da primeira e da segunda prova bimestral, respectivamente, tais que tanto P1 como P2 têm valoração entre 0 e 10.
Dessa forma, se um aluno obteve a nota 4 na primeira prova bimestral e sabe que, para ser aprovado nesse bimestre, precisa ficar com uma nota média final superior ou igual a 7, então, a nota mínima que ele deve tirar na segunda prova bimestral para ser aprovado, nesse bimestre, será igual a