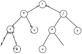
Considere a árvore abaixo, representando a expressão !$ (b+c)x+{\large{ad \over e}} !$.

O percurso em pré-ordem, nessa árvore, produz a sequência:
Considere a árvore abaixo, representando a expressão !$ (b+c)x+{\large{ad \over e}} !$.

O percurso em pré-ordem, nessa árvore, produz a sequência: