Magna Concursos
176366 Ano: 2009
Disciplina: Engenharia Elétrica
Banca: CESPE / CEBRASPE
Orgão: DETRAN-DF
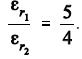
Considere o campo elétrico existente na fronteira de uma região
formada por dois dielétricos distintos, lineares, homogêneos e
isotrópicos (meios 1 e 2), cujas permissividades relativas sejam
Enunciado 176366-1 . A respeito desse assunto, julgue os itens a seguir.
Suponha que a componente normal do campo elétrico na fronteira 1 seja igual a 4 kV/m e que Enunciado 176366-2. Nesse caso, a componente normal do campo elétrico no meio 2 é igual a 5 kV/m.
 

Provas

Questão presente nas seguintes provas

Analista de Trânsito - Engenharia Elétrica

120 Questões