Uma determinada indústria resolveu adicionar a sua planta um
processo que realiza o tratamento térmico de peças metálicas, para
que estas obtenham propriedades mecânicas desejadas. Esse
processo consiste na inserção de uma peça dentro de um forno
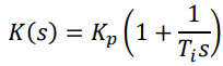
elétrico, cuja temperatura é controlada por um controlador do tipo
PI, de função de transferência dada por

Após instalação do sistema, foi executado a função “autoajuste” presente no controlador PI, que estabeleceu um par de valores iniciais para as constantes Kp e Ti do respectivo controlador.
Em seguida, o sistema passou por um teste de validação, que consistiu na execução de um degrau na referência, com intuito de verificar como o sistema seguia a temperatura pré-determinada.
Ao analisar a resposta do sistema, verificou-se que a temperatura do forno possuía tempo de subida adequado, mas com tempo excessivo para eliminação de erro de estado estacionário.
Neste caso, para melhorar a resposta transitória desse sistema, se faz necessário

Após instalação do sistema, foi executado a função “autoajuste” presente no controlador PI, que estabeleceu um par de valores iniciais para as constantes Kp e Ti do respectivo controlador.
Em seguida, o sistema passou por um teste de validação, que consistiu na execução de um degrau na referência, com intuito de verificar como o sistema seguia a temperatura pré-determinada.
Ao analisar a resposta do sistema, verificou-se que a temperatura do forno possuía tempo de subida adequado, mas com tempo excessivo para eliminação de erro de estado estacionário.
Neste caso, para melhorar a resposta transitória desse sistema, se faz necessário
Provas
Questão presente nas seguintes provas
Tecnologista Jr - AOCS
45 Questões
Tecnologista Jr - Desenvolvimento de Sistemas
45 Questões
Tecnologista Jr - Satélites/Missões Espaciais
45 Questões