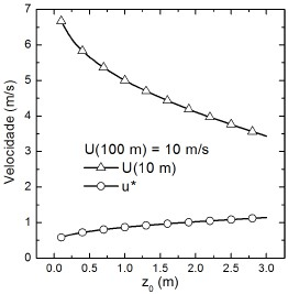
Testes de sensibilidade por meio da variação do comprimento de rugosidade, z0, são úteis para avaliar o desempenho de modelos para diferentes ocupações do solo. Para avaliar a parametrização de camada limite superficial neutra de um novo modelo numérico é realizado esse tipo de teste de sensibilidade. A magnitude do vento livre, U(z = 100 m), é constante e igual a 10 m/s em todas as simulações. O deslocamento do plano zero é suposto ser desprezível (d0 = 0). A figura abaixo mostra como da magnitude do vento no nível de 10 m e também a velocidade de atrito u* variam em função de z0.

É correto afirmar que o comportamento de U(z = 10 m) (triângulos) e u* (círculos):