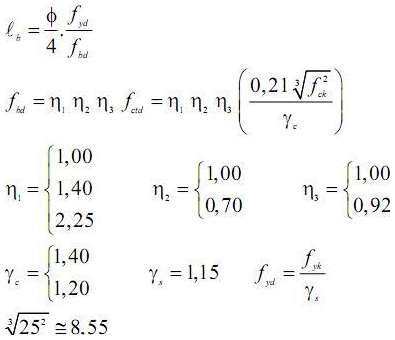
Considere o comprimento de ancoragem básico ( lb ) dado pelas expressões abaixo:

Em que:
η1 é o coeficiente para barras lisas, dentadas ou nervuradas;
η2 é o coeficiente para barras em situações de boa ou má aderência;
η3 é o coeficiente para barras menores ou maiores de 32 mm;
fcd, fbd e fyd em MPa.
Assim, determinar o valor do comprimento (mais próximo) de ancoragem básico,lb, das barras de armadura positiva (armadura inferior) a ser usado em vigas de concreto armado a serem construídas com concreto classe C25 e aço CA-50. Considerar apenas barras nervuradas com diâmetros inferiores a 40 mm e combinações normais de carregamento - ELU.

Em que:
η1 é o coeficiente para barras lisas, dentadas ou nervuradas;
η2 é o coeficiente para barras em situações de boa ou má aderência;
η3 é o coeficiente para barras menores ou maiores de 32 mm;
fcd, fbd e fyd em MPa.
Assim, determinar o valor do comprimento (mais próximo) de ancoragem básico,lb, das barras de armadura positiva (armadura inferior) a ser usado em vigas de concreto armado a serem construídas com concreto classe C25 e aço CA-50. Considerar apenas barras nervuradas com diâmetros inferiores a 40 mm e combinações normais de carregamento - ELU.
Provas
Questão presente nas seguintes provas