Magna Concursos
164509 Ano: 2018
Disciplina: Engenharia Eletrônica
Banca: CESGRANRIO
Orgão: Petrobrás

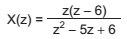
Considere o sinal a seguir:

Enunciado 164509-1

A inversa Z desse sinal é:

 

Provas

Questão presente nas seguintes provas

Engenheiro de Equipamentos - Eletrônica

70 Questões