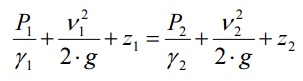
Para um reservatório de água aberto na superfície, determine a velocidade do jato de água na saída inferior do reservatório quando ele estiver cheio e com nível constante, sabendo que a saída está 5 metros abaixo do nível da água e adotando como massa específica da água 1000 kg/m3 e g = 10m/s2 . Equação da energia:
