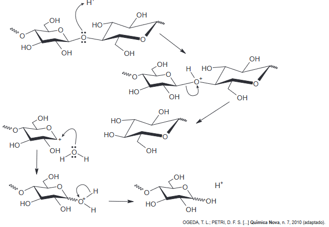
A biomassa celulósica pode ser utilizada para a produção de etanol de segunda geração. Entretanto, é necessário que os polissacarídeos sejam convertidos em mono e dissacarídeos, processo que pode ser conduzido em meio ácido, conforme mostra o esquema:

Nessa conversão de polissacarídeos, a função do íon H+ é