
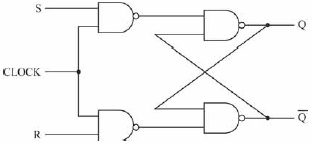
Considerando a figura apresentada, que ilustra um circuito lógico de um flip-flop RS com entrada CLOCK, julgue o item que se segue.
Se o nível lógico do CLOCK for 1, então o circuito se comportará como um flip-flop JK.
Provas
Questão presente nas seguintes provas