Entenda o cálculo do IDH municipal (IDHM)
1 O índice de desenvolvimento humano (IDH) foi criado
para medir o nível de desenvolvimento humano dos países a
partir de indicadores de educação (alfabetização e taxa de
4 matrícula), longevidade (expectativa de vida ao nascer) e renda
(PIB per capita), mas também é utilizado para aferir o nível de
desenvolvimento humano de municípios. Embora meçam os
7 mesmos fenômenos, os indicadores levados em conta no IDH
municipal (IDHM) são mais adequados para avaliar as
condições de núcleos sociais menores.
10 No tocante à educação, o cálculo do IDHM considera
dois indicadores, com pesos diferentes: a taxa de alfabetização
(A) de pessoas acima de 15 anos de idade, com peso 2, e a taxa
13 bruta de freqüência à escola (F), com peso 1. O primeiro
indicador resulta da seguinte divisão: o número de pessoas do
município com mais de 15 anos de idade capazes de ler e
16 escrever um bilhete simples (ou seja, adultos alfabetizados)
dividido pelo número de pessoas com mais de 15 anos de idade
residentes no município. O segundo indicador resulta de uma
19 conta simples: o número de indivíduos do município que estão
freqüentando a escola, independentemente da idade, dividido
pela população da localidade na faixa etária de 7 a 22 anos
22 de idade.
Com relação à longevidade, o IDHM leva em conta o
número médio de anos que uma pessoa nascida naquela
25 localidade, no ano de referência, deve viver, ou seja, a
expectativa de vida (E) no município referente a esse ano.
Para a avaliação da renda, o critério usado é a renda
28 municipal per capita (R), ou seja, a renda média de cada
residente no município. Para se chegar a esse valor, soma-se a
renda de todos os residentes e divide-se o resultado pelo
31 número de pessoas que moram no município.
Escolhidos os indicadores, são calculados os
subíndices específicos de cada um dos três parâmetros
34 analisados: IDHM-E, para a educação, IDHM-L, para a
longevidade, e IDHM-R, para a renda. O IDHM de cada
município é a média aritmética desses três subíndices.
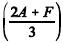
37 Assim, o IDHM-E de um município é dado pela
fórmula
Para o cálculo do IDHM-L, determina-se a
expectativa de vida ao nascer no município (E) e usa-se a
40 fórmula
. Finalmente, para se calcular o
IDHM-R, determina-se a renda municipal per capita (R) e, em
seguida, aplica-se a fórmula:
. Essas
43 equações foram ajustadas de forma que os três subíndices,
IDHM-E, IDHM-L e IDHM-R, estejam entre 0 e 1.
Novo atlas do desenvolvimento humano no Brasil. In: IPEA. Internet:
<http://www.undp.org.br>. Acesso em jul./2003 (com adaptações).
De acordo com as informações do texto ao lado - Entenda o cálculo do IDH municipal (IDHM) - e considerando o tema por ele focalizado, julgue os itens que se seguem.
Em um sistema de coordenadas cartesianas, o
gráfico de IDHM-L como função da variável E é um
segmento de reta.1 O índice de desenvolvimento humano (IDH) foi criado
para medir o nível de desenvolvimento humano dos países a
partir de indicadores de educação (alfabetização e taxa de
4 matrícula), longevidade (expectativa de vida ao nascer) e renda
(PIB per capita), mas também é utilizado para aferir o nível de
desenvolvimento humano de municípios. Embora meçam os
7 mesmos fenômenos, os indicadores levados em conta no IDH
municipal (IDHM) são mais adequados para avaliar as
condições de núcleos sociais menores.
10 No tocante à educação, o cálculo do IDHM considera
dois indicadores, com pesos diferentes: a taxa de alfabetização
(A) de pessoas acima de 15 anos de idade, com peso 2, e a taxa
13 bruta de freqüência à escola (F), com peso 1. O primeiro
indicador resulta da seguinte divisão: o número de pessoas do
município com mais de 15 anos de idade capazes de ler e
16 escrever um bilhete simples (ou seja, adultos alfabetizados)
dividido pelo número de pessoas com mais de 15 anos de idade
residentes no município. O segundo indicador resulta de uma
19 conta simples: o número de indivíduos do município que estão
freqüentando a escola, independentemente da idade, dividido
pela população da localidade na faixa etária de 7 a 22 anos
22 de idade.
Com relação à longevidade, o IDHM leva em conta o
número médio de anos que uma pessoa nascida naquela
25 localidade, no ano de referência, deve viver, ou seja, a
expectativa de vida (E) no município referente a esse ano.
Para a avaliação da renda, o critério usado é a renda
28 municipal per capita (R), ou seja, a renda média de cada
residente no município. Para se chegar a esse valor, soma-se a
renda de todos os residentes e divide-se o resultado pelo
31 número de pessoas que moram no município.
Escolhidos os indicadores, são calculados os
subíndices específicos de cada um dos três parâmetros
34 analisados: IDHM-E, para a educação, IDHM-L, para a
longevidade, e IDHM-R, para a renda. O IDHM de cada
município é a média aritmética desses três subíndices.
37 Assim, o IDHM-E de um município é dado pela
fórmula
expectativa de vida ao nascer no município (E) e usa-se a
40 fórmula
IDHM-R, determina-se a renda municipal per capita (R) e, em
seguida, aplica-se a fórmula:
43 equações foram ajustadas de forma que os três subíndices,
IDHM-E, IDHM-L e IDHM-R, estejam entre 0 e 1.
Novo atlas do desenvolvimento humano no Brasil. In: IPEA. Internet:
<http://www.undp.org.br>. Acesso em jul./2003 (com adaptações).
De acordo com as informações do texto ao lado - Entenda o cálculo do IDH municipal (IDHM) - e considerando o tema por ele focalizado, julgue os itens que se seguem.