Magna Concursos
160508 Ano: 2018
Disciplina: Engenharia Mecânica
Banca: NUCEPE
Orgão: PC-PI
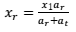
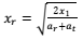
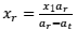
Um rapaz de massa m1 e um trenó de massa m2 estão sobre a superfície de um lago congelado, separados por uma distância x1 . O rapaz aplica sobre o trenó uma força horizontal F, puxando-o por uma corda, em sua direção. A que distância (xr), em relação à posição inicial do rapaz, eles se juntam, supondo nulas as forças de atrito? Seja ar , a aceleração do rapaz, at , a aceleração do trenó, e t o tempo.
 

Provas

Questão presente nas seguintes provas

Perito Criminal - Engenharia Mecânica

60 Questões