Magna Concursos
655304 Ano: 2017
Disciplina: Engenharia Eletrônica
Banca: CESGRANRIO
Orgão: Petrobrás

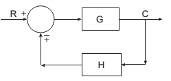
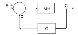
enunciado 655304-1

Um sistema de retroação unitária que pode ser apresentado no lugar do sistema de retroação acima é:

 

Provas

Questão presente nas seguintes provas

Técnico de Manutenção - Instrumentação

60 Questões