
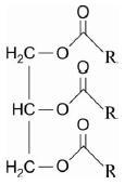
O óleo de macaúba tem despertado grande interesse comercial devido à sua aplicabilidade nas indústrias farmacêutica, alimentícia e de biocombustíveis. Esse óleo é formado por moléculas de triglicerídeos, conforme figura acima, em que R representa cadeias hidrocarbônicas que podem ser iguais ou não entre si. Um dos métodos de caracterização das propriedades físicoquímicas de um óleo vegetal é o índice de saponificação, que consiste na quantidade de hidróxido de potássio necessária para reagir, por saponificação, com 1 grama desse óleo. A reação de saponificação do óleo de macaúba forma, principalmente, os sais de ácido láurico e de ácido oleico, ambos ácidos de fórmula geral RCOOH. Para o ácido láurico, R consiste em uma cadeia aberta saturada de 11 átomos de carbono e, para o ácido oleico, em uma cadeia aberta de 17 átomos de carbono com uma insaturação.
Tendo como referência as informações acima, julgue o item a seguir.
A molécula de ácido láurico apresenta solubilidade em água superior à da molécula de ácido oleico.