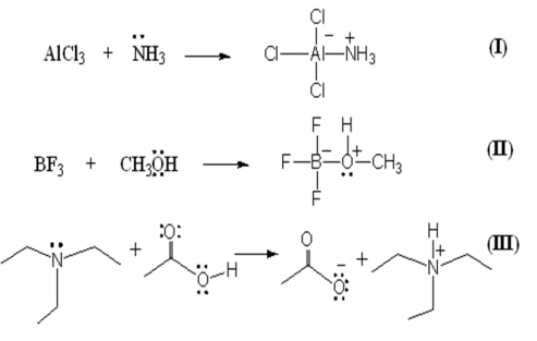
Diversas reações na Química Orgânica são do tipo ácido-base ou envolvem uma reação ácido-base
em alguma etapa. Entre elas, duas são fundamentais na química orgânica: as reações ácido-base de
Bronsted-Lowry e a de Lewis. Nessa perspectiva, observe as reações a seguir:

Analisando as reações, é correto concluir que, na teoria de:

Analisando as reações, é correto concluir que, na teoria de:
Provas
Questão presente nas seguintes provas