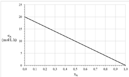
Um r e ator batelada em escala laboratorial foi utilizado para estudar a velocidade da reação !$ A \, \rightarrow \, 2B !$. O reator foi alimentado com uma solução com concentração inicial de A de 2 mol/L e mantido à temperatura constante de 25°C. A velocidade de desaparecimento do reagente A (-rA) foi medida para diferentes conversões (xA). A curva obtida é apresentada a seguir.

Fonte: Arquivo Banca Elaboradora.
A reação deverá ser processada em dois reatores de tanque contínuos (CSTRs) independentes, mantidos à mesma temperatura T utilizada para o reator batelada. O reator 1 será alimentado com uma solução com concentração 2mol/L de A e o reator 2 com uma solução com concentração 4mol/L de A. Cada um deles será projetado para alcançar conversão de 90%.
Os tempos espaciais, dados em hora, dos reatores 1 e 2 serão, respectivamente,