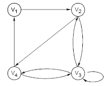
Instruções: Para responder às questões de números 51 e 52, considere a figura abaixo, relacionada à Teoria dos Grafos.

No grafo exibido, o caminho v1, v2, v4, v3 tem comprimento igual a
Instruções: Para responder às questões de números 51 e 52, considere a figura abaixo, relacionada à Teoria dos Grafos.

No grafo exibido, o caminho v1, v2, v4, v3 tem comprimento igual a