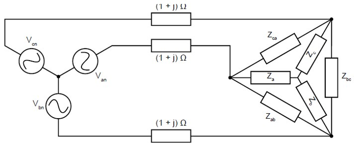
Considere o circuito trifásico, operando em 60 Hz, conforme a figura a seguir. As tensões das fontes são Van = 127!$ \angle !$ 0°V, Vbn = 127!$ \angle !$−120°V e Vcn = 127!$ \angle !$120°V. As impedâncias de linha são equilibradas e iguais a (1+j) !$ \Omega !$. Além disso, as impedâncias das cargas são Zab = Zbc = Zca = 9+6j!$ \Omega !$ e Za = Zb = Zc = 12+6 j!$ \Omega !$.

A potência complexa fornecida pela fonte Van é igual a:
Provas
Questão presente nas seguintes provas
Engenheiro de Processos de Suporte - Elétrica
45 Questões