Magna Concursos
Questões
Planos
Entrar
Entrar
Criar Conta
Respondida
1552577
Ano:
2007
Disciplina:
Matemática
Banca:
CETRO
Orgão:
SEMAE Rio Preto
Provas:
Eletricista de Manutenção
Provas
×
Hidrometrista
Provas
×
Mecânico
Provas
×
Fundamentos
Frações e Números Decimais
Frações
Soma e Subtração de frações
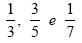
Observe as frações abaixo.
Se subtrairmos a maior e a menor fração, obteremos como resultado:
A
1
B
C
D
E
3
Resolver
Comentários
0
×
Cadernos
×
Flashcards
×
Estatísticas
×
Reportar um erro
×
Provas
Questão presente nas seguintes provas
Publicar
Responder
Qual o problema da questão?
Selecione uma opção
Questão Desatualizada
Questão Repetida
Gabarito Errado
Outros Motivos
Mensagem
Enviar
Acessar
Criar Conta
Acesse sua Conta
Google
Facebook
Esqueci minha senha
Acessar
Ainda não tem conta?
Crie uma
!
Crie uma Conta
Criar Conta
Olá, para continuar, precisamos criar uma conta!
É
rápido
e
grátis
.
Google
Facebook
Concordo com os
Termos de Uso
Criar
Já tem uma conta?
Acesse aqui