Magna Concursos
514568 Ano: 2014
Disciplina: Matemática
Banca: CESPE / CEBRASPE
Orgão: ANATEL

Julgue o item que se segue, relativo a conceitos de amostragem.

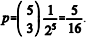
Em uma sequência de 5 lançamentos independentes de uma moeda equilibrada, em que cada lançamento represente um ensaio de Bernoulli, a probabilidade de serem observadas consecutivamente 3 caras (considerados os sucessos) e 2 coroas (considerados os fracassos) é Enunciado 3353403-1

 

Provas

Questão presente nas seguintes provas