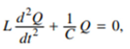
Para um indutor e um capacitor
conectados em série, a equação que
descreve o movimento da carga é
onde L é a indutância, C a capacitância e
Q é a carga. Uma equação análoga pode
ser escrita para um oscilador harmônico
com posição x, massa m e constante de
mola k. Quais são os análogos mecânicos
de L, C e Q, respectivamente?
onde L é a indutância, C a capacitância e
Q é a carga. Uma equação análoga pode
ser escrita para um oscilador harmônico
com posição x, massa m e constante de
mola k. Quais são os análogos mecânicos
de L, C e Q, respectivamente?