
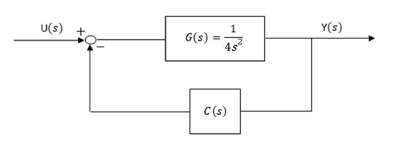
Considerando o sistema de controle ilustrado na figura apresentada, em que C(s) representa um controlador, julgue o próximo item com referência à análise de estabilidade.
Provas
Questão presente nas seguintes provas

Considerando o sistema de controle ilustrado na figura apresentada, em que C(s) representa um controlador, julgue o próximo item com referência à análise de estabilidade.