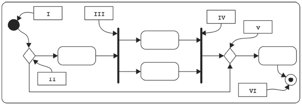
Considere o seguinte diagrama UML 2.5.

Neste diagrama estão indicados alguns de seus elementos. O nome do diagrama e os nomes dos elementos de II a V são, correta e respectivamente, indicados em:
Provas
Questão presente nas seguintes provas
Técnico em Gestão Procuratorial - Informática
50 Questões