Magna Concursos
454337 Ano: 2003
Disciplina: Matemática Financeira
Banca: CESPE / CEBRASPE
Orgão: BB
Provas:
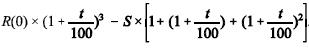
Um banco oferece um sistema de aposentadoria privada em que cada participante faz um depósito mensal correspondente a x% do seu salário por um período de 30 anos, realizando o primeiro depósito 1 mês após o ingresso no sistema e totalizando 360 depósitos. Nesse sistema, todo o montante recolhido é corrigido a uma taxa de juros compostos de t% ao mês. Considere que os salários dos participantes desse sistema são mantidos constantes durante todos os anos de contribuição e que, um mês depois de ter efetuado o 360.º depósito, quando da sua aposentadoria, o participante passa a receber, todos os meses, uma pensão igual ao salário S que ele possuía, a qual é descontada do montante que ele tem aplicado no sistema. Considere ainda que, para cada participante, o montante residual que ele possui no sistema após o pagamento de n pensões - R(n), n > 0 - continua a ser corrigido pela mesma taxa de juros t% após a sua aposentadoria. Sabendo que R(0) é igual ao montante acumulado e corrigido no momento do 360º depósito, julgue os itens a seguir, relativos ao sistema de aposentadoria descrito e à previdência social brasileira, tendo como base as informações apresentadas.
Imediatamente após o recebimento da terceira pensão, um participante do sistema de aposentadoria tem, nesse sistema, um montante residual igual a Enunciado 454337-1.
 

Provas

Questão presente nas seguintes provas

Escriturário

150 Questões