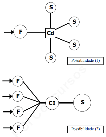
Em localidades onde não há rede de esgotos, os sumidouros podem ser utilizados como destino final dos efluentes, desde que o terreno possua boa capacidade de absorção. Analise as possibilidades (1) e (2) abaixo para a implantação do sistema de fossa e sumidouro:
Legenda: (F)-Fossa; (S)-Sumidouro; (Cd)-Caixa de distribuição; (CI)-Caixa de Inspeção

A implantação correta é: