Responda a QUESTÃO, a respeito das fórmulas e do trecho de planilha apresentados a seguir:

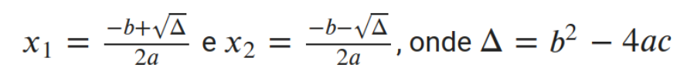
As fórmulas apresentadas refletem os conhecidos passos para se encontrar as soluções de uma equação do
segundo grau, ou fórmulas de Bhaskara. Considere que se deseja determinar os valores x1 e x2 a partir de
dados (a, b e c), preenchidos em células de uma planilha, que tem um trecho conforme ilustrado a seguir.

Os valores de a, b e c (nas células A2, B2 e C2, respectivamente) são de preenchimento manual, enquanto
os valores delta, x1 e x2 (nas células D2, E2 e F2, respectivamente) são de preenchimento automático,
calculados a partir dos três primeiros e conforme as fórmulas acima.