Observe as figuras a seguir que representam uma pequena equação.

De acordo com os valores de X e Y na equação, o valor de
é:
Provas
Questão presente nas seguintes provas
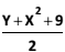
Observe as figuras a seguir que representam uma pequena equação.

De acordo com os valores de X e Y na equação, o valor de
é: