Um programa de computador, que é capaz de efetuar a
análise nodal de sistemas elétricos em regime permanente
senoidal, utiliza como dados de entrada uma tabela. O formato
dessa tabela é padronizado de acordo com as seguintes
regras:
• Coluna 1: nó inicial de conexão do bipolo; • Coluna 2: nó final de conexão do bipolo; • Coluna 3: tipo de bipolo conectado entre os nós inicial e final; e • Coluna 4: propriedades físicas do bipolo definido na coluna 3.
Para a análise de um circuito em corrente alternada, alimentado com fontes de frequência angular igual a 100 [rad/s], foi montada a seguinte tabela.

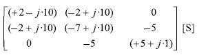
Dado que o nó de referência é o nó X, assinale a alternativa que apresenta corretamente a matriz de admitâncias do circuito descrito pela tabela, considerando que a ordem dos nós utilizada para a montagem é Y, Z e W.
• Coluna 1: nó inicial de conexão do bipolo; • Coluna 2: nó final de conexão do bipolo; • Coluna 3: tipo de bipolo conectado entre os nós inicial e final; e • Coluna 4: propriedades físicas do bipolo definido na coluna 3.
Para a análise de um circuito em corrente alternada, alimentado com fontes de frequência angular igual a 100 [rad/s], foi montada a seguinte tabela.

Dado que o nó de referência é o nó X, assinale a alternativa que apresenta corretamente a matriz de admitâncias do circuito descrito pela tabela, considerando que a ordem dos nós utilizada para a montagem é Y, Z e W.