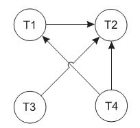
No contexto do tratamento de impasses (deadlock) no controle de concorrência de banco de dados, considere o seguinte grafo espera-por:

Nesse instante, para o banco de dados continuar funcionando

Nesse instante, para o banco de dados continuar funcionando
Provas
Questão presente nas seguintes provas
Analista Técnico-Científico - TI/Banco de Dados
60 Questões