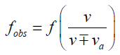
A equação do efeito Doppler, mostrada abaixo, relaciona as frequências (fobs) ouvidas por um observador estacionário que recebe o som emitido pela sirene de uma ambulância quando esta se aproxima ou se afasta dele.

Nessa equação, v é a velocidade do som no ar, va é a velocidade da ambulância e f é a frequência própria da sirene (ouvida dentro da ambulância). O sinal (∓) permite distinguir a frequência do som em duas situações: quando a ambulância se aproxima e quando ela se afasta do observador estacionário, conforme ilustra a figura a seguir.

Em uma situação em que a velocidade da ambulância seja um décimo da velocidade do som no ar e a frequência própria da sirene seja de 198 Hz, um observador parado perceberá o som da sirene