Magna Concursos
726483 Ano: 2019
Disciplina: Matemática
Banca: IBADE
Orgão: Pref. Aracruz-ES
Provas:

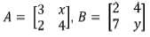
Marque a alternativa que apresenta os valores de x e y, respectivamente, para que a soma das matrizes A e B seja enunciado 726483-1

enunciado 726483-2

 

Provas

Questão presente nas seguintes provas

Instrutor de Libras

60 Questões